Aprobados primer ejercicio Conductor Parque Móvil del Estado
El Órgano de Selección de las 139 plazas de Conducción de vehículos de transporte por carretera ha publicado:
- La plantilla definitiva del cuestionario
- Nota de corte
- Aprobados primer ejercicio cupo general
- Aprobados primer ejercicio cupo discapacidad
Nota de corte
Cupo general: 74,33 puntos directos (referencia de corte), equivalente a una calificación de 50 puntos (mínimo para aprobar).
Cupo de discapacidad: 65 puntos directos (referencia de corte), equivalente a una calificación de 50 puntos (mínimo para aprobar).
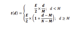
El cálculo del resto de las calificaciones (transformación de las puntuaciones directas) se realizará aplicando la siguiente fórmula:

Siendo:
t(d) Calificación (puntuación transformada) del opositor.
d Puntuación directa del opositor.
M Puntuación directa mínima (referencia de corte) para superar el ejercicio, establecido por el Órgano de Selección.
N Puntuación directa máxima obtenible en el ejercicio.
E Calificación máxima (puntuación transformada máxima) obtenible en el ejercicio.
En el caso de que la puntuación directa del opositor sea inferior a la puntuación directa mínima (referencia de corte) para superar el ejercicio, se aplicará el primer tramo de la fórmula (d<M).
En el caso de que la puntuación directa del opositor sea igual o superior a la puntuación directa mínima (referencia de corte) para superar el ejercicio, se aplicará el segundo tramo de la fórmula (d≥M).
MÁS INFO NOTA DE CORTE
Listado aprobados
Se publican los aspirantes que han pasado la nota de corte del primer examen y pasarán a realizar el segundo ejercicio del simulador de conducción.
Se publican por orden de puntuación, de mayor a menor.
Listado aprobados CUPO GENERAL
Listado aprobados CUPO DISCAPACIDAD
Queremos dar la ENHORABUENA a nuestros/as alumnos/as que han aprobado. ¡A por la plaza! 💪🏻
CURSO DE PREPARACIÓN
Si quieres prepararte para las siguientes plazas de Conductor de Parque Móvil del Estado, comenzamos pronto NUEVA preparación.
Infórmate en el 91 877 12 25 o escribe a matriculas@grafton.es
¡La mejor formación a tu alcance, estés donde estés!
💻 Clases 100% online: Estudia desde la comodidad de tu hogar.
🎧 Todas las clases grabadas para verlas en diferido cuando quieras.
📚 Material actualizado: Contenidos adaptados a la convocatoria.
👩🏻🏫 Profesores especializados en la preparación de oposiciones.
📍 Modalidad: Online con clases en directo.
CURSO PREPARACIÓN CONDUCTOR PARQUE MÓVIL DEL ESTADO
Síguenos en redes sociales


